TeraLumen Solutions

Terahertz Technology

 

Key Specifications

  • 0.1 to > 5 Terahertz
  • 70 to 80 dB Dynamic range
  • 1550 ± 10 nm Femtosecond Laser
  • InGaAs Photoconductive Emitter and Receiver
  • Standard Scan Range: 100 ps to 2000 ps (custom)
  • Fast Scan Range: 5 ps 10 ps, 20 ps, 50 ps and 100 ps
  • Integrated Camera on THz Sensor

Salient Features

  • Research friendly THz Platform
  • 0.1 to > 5 Terahertz Broadband
  • Compact – Table Top Model
  • Customizable Setup with Transmission and Reflection
  • Suitable for Spectroscopy and Imaging measurements

Dedicated Workflow

High Resolution

Accurate Results

Customizable Setup

Salient Features of Terahertz Spectroscopy +
Integrated THz Measurement and Analysis
One platform for terahertz time-domain acquisition and frequency-domain analysis, from raw waveform to interpretable material insights.
Compact Table-Top Design
A lab-friendly footprint suitable for research environments where flexibility, ease of setup, and accessibility matter.
Transmission and Reflection Capability
Configurable hardware architecture for transmission and reflection measurements, enabling broader sample compatibility.
Spectroscopy and Imaging Ready
Supports both point spectroscopy and area-based imaging workflows for material evaluation, thickness gauging, and layer analysis.
Software-Driven Workflow
Dedicated software for acquisition, visualization, control, and post-processing, reducing setup complexity for routine users.
Upgradable Research Platform
Can be configured with accessories such as imaging stages, reflection modules, polarizers, and purging options.

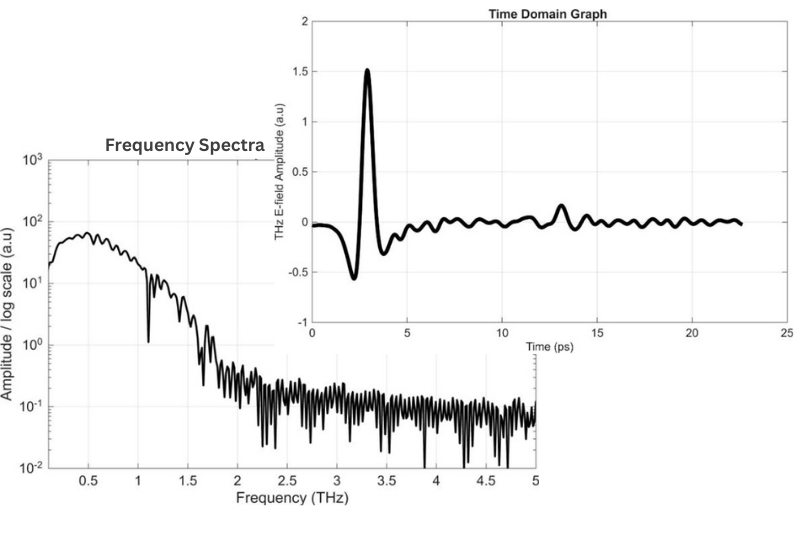
TeraXplor™ is a turn-key versatile THz system designed and developed for research and academic researchers to do fast and easy terahertz time-domain measurements in minimal time. It comes with a broadband 0.1 to > 5 THz bandwidth and 70 to 80 dB dynamic range. This terahertz system is powered with a 1550 nm +/- 10 nm femtosecond laser source and InGaAs photoconductive emitter and receiver. The best-in-class optical delay unit (ODU) gives ability to user conduct scan range from 5 ps to 2000 ps and capable of integrating the voice-coil delay unit to achieve scan speed up to 20 Hz. Integration of TeraLumen’s voice coil delay unit enable use to collect data in less than 1 second for 20 picoseconds. A dedicated software, Lumen Lite v3.2, was developed to automate the switch-on, data acquisition, and controlling the stages for faster measurements and analysis. This powerful software can plot Time Pulse, FFT Plot, absorption coefficient, refractive index, thickness, and imaging.

Unlike premium ultra-high-spec systems that are optimized around maximum bandwidth and dynamic range, TeraXplor™ is positioned as a practical and adaptable platform for research teams that value usability, configurable geometry, integrated software, and application-focused workflow development.


Transmission Mode: The THz pulse passes through the sample and is collected on the opposite side. It is suited for thin, semi-transparent materials like polymers, coatings, and tissues. This mode reveals absorption and refractive index changes as the wave propagates.

Reflection Mode: The THz pulse is directed onto the sample surface and the reflected signal is measured from the same side. It is best for opaque or thick materials like metals, ceramics, and composites where transmission is not feasible. This mode enables analysis of surfaces, multilayers, and buried interfaces through time-delayed echoes.

Applications in Research and Academic

Lumen Lite Software Basic Features

Pulse

Data saving in *csv

File management

System controls

System Specifications

Laser Source 1550 ± 10 nm femtosecond laser
Laser Repetition Rate
100 MHz
THz Technology Type
Time Domain Signal
Spectral Range
0.1 to > 5 THz
THz Emitter / Receiver
InGaAs photoconductive emitter and detector
Standard Probe Setup
Transmission
Sensor Integration
Camera/Depth Sensor/ Laser
THz Focus Type
Collimated, Focused
THz Focal Spot
6 mm, 2 mm
Working Mode
Transmission and Reflection
Dynamic Range
70 to 80 dB
Average Power
100 µW
Standard Scan Range
330 ps, 600 ps, 1000 ps, and 2000 ps
Scan Speed
5 ps/s
Fast Scan Range
5 ps, 10 ps, 20 ps, 50 ps and 100 ps
Scan Speed
20 Hz
THz Frequency Resolution
< 1.2 GHz
Computer Interface
USB
Integrated Camera
8MP Camera on THz sensor
Compatible Software
Lumen Lite
Optional Accessories

• 45° Reflection Probe setup
• 2-axis Motorized Stage for Imaging
• 180° semi-circular manual stage
• Nitrogen Purging Setup
• 300 mm x 150 mm Bread board
• THz Polarizer
• Optical Fiber Cleaning kit
• TPX Terahertz Lens

Power and Dimensions

Operating Voltage 230 VAC, 10A
Power Consumption
< 500 W
Ambient Atmosphere
<25 °C, 80% RH
Operating Temperature
18° – 40 °C
Controller (L x W x H)
40 cm x 30 cm x 15 cm
Controller Weight
18 Kg
THz Sensor Weight
< 500 Grams

Lumen Lite Software and Imaging Specifications

Travel Range 75 mm x 75 mm x 75 mm
Resolution X – Axis
< 250 μm* ( Stage resolution < 10 μm )
Resolution Y – Axis
< 250 μm* ( Stage resolution < 10 μm )
Resolution Z – Axis
Stage resolution < 10 μm
Load Capacity X-Axis
> 3 kg
Actuator
Stepper motor

Note: Turnkey system is customizable based on application requirements.

TeraXplor Accessories

Open

Maintenance kit for safe cleaning of fiber connectors and mating sleeves to preserve coupling efficiency and system reliability.

Open

Low-loss THz lenses for beam focusing and collimation, suitable for optimizing spot size, standoff, and experimental flexibility.

Standard Scope of Supply

Controller

Transmission Head

THz-TDS Lumen Lite Software

Cable set

Integrated PC

UPS

Standard Scope of Supply

The TeraXplor™ scope comprises with

Multi-layer coating thickness measurement,Analytical and Pharma

Controller

Multi-layer coating thickness measurement,Analytical and Pharma

Probe Head

Multi-layer coating thickness measurement,Analytical and Pharma

THz-TDS Lumen Lite Software

Multi-layer coating thickness measurement,Analytical and Pharma

Cable

set

Multi-layer coating thickness measurement,Analytical and Pharma

Transmission

Jig

Multi-layer coating thickness measurement,Analytical and Pharma

Reflection

Jig

Multi-layer coating thickness measurement,Analytical and Pharma

Integrated PC

Multi-layer coating thickness measurement,Analytical and Pharma

UPS

Optional

Note: Turnkey system is customizable based on application requirements.

Checkout Our Products

Biomedical

TeraMARGIN

Industrial

TeraNIM